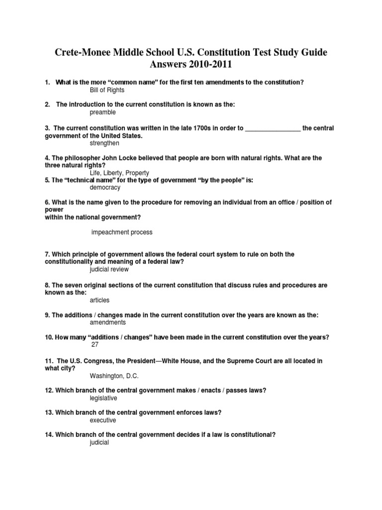
United States Constitution Study Guide The Federalist Papers 1788 and various other historical documents such as Magna Carta 1215 are sometimes credited with having influenced the content of the Constitution of the United States or its initial Amendments the Bill of Rights
United States Constitution the U S flag and the Illinois Constitution If you study these materials you will be able to successfully pass the constitution test This Study Guide is divided into lessons Each lesson includes specific directions to assist you Most lessons begin with a list of vocabulary words and their definitions Twenty fifth Amendment Tenth establish procedures for filling vacancies in the office of president and vice president as well as providing for procedures to deal with the disability of a president Tenth Amendment Amendment stating that the powers not delegated to the federal gov are reserved to the states First Amendment
United States Constitution Study Guide
United States Constitution Study Guide
https://s2.studylib.net/store/data/010163134_1-e45ef89f9555d6f305e3da096bd13e64.png
For more than 200 years the Constitution of the United States has been a working document maintaining the original principles upon which our nation was founded while at the same time changing with the country as reflected in its amendments While the U S Constitution itself outlines the basic structure of the federal
Templates are pre-designed files or files that can be used for numerous purposes. They can conserve effort and time by supplying a ready-made format and layout for producing various kinds of content. Templates can be utilized for individual or professional tasks, such as resumes, invitations, flyers, newsletters, reports, discussions, and more.
United States Constitution Study Guide

US Gov Study Guide Summary Survey Of United States Constitution And

United States Constitution Study Guide
Constitution Study Guide Answers 2012 13 201209281055192860 United

Unit 3 Constitution Study Guide

Free Printable Us Constitution Worksheets Lexia s Blog
Constitution Presidents Of The United States United States Government

https://quizlet.com/8229049/us-constitution-study-guide-flash-cards/
U S CONSTITUTION STUDY GUIDE 4 3 289 reviews What is the preamble Click the card to flip The introduction to the Constitution Click the card to flip 1 83 Flashcards Learn Test Match Q Chat Created by Mrs Byland Teacher Everything you need to know to pass the test is here on these easy to read notecards

https://www.annenbergclassroom.org/constitution/
Home Constitution What It Says What It Means The Annenberg Guide to the United States Constitution This interactive guide to the U S Constitution provides the original text and an explanation of the meaning of each article and amendment

https://ung.edu/political-science-international-affairs/_uploads/files/us-constituion-study-guide-may2022.pdf?t=1680649365286
STUDY GUIDE for the U S Constitution Exam May 2022 1 What are the first words in the Constitution s preamble 2 Each of the first three articles of the U S Constitution establishes which of the branches of the national government respectively 3 Which branch of the national government is established in Article I 4

https://www.cliffsnotes.com/study-guides/american-government/the-constitution/summary-of-the-constitution
Summary of the Constitution The Constitution was a spare document providing few details about how the U S government would run itself It explained the rough organization of the three branches how they would interact with the states and how the document could be amended Filling in the details was left to future leaders

https://www.dummies.com/article/academics-the-arts/history/american/u-s-constitution-for-dummies-cheat-sheet-209228/
The U S Constitution as adopted by the Philadelphia Convention on September 17 1787 sets out three distinct branches of national government and provides powers to each that serve as a check on the others The following sections offer key facts about each branch The Executive Branch The President
The Constitution Study Guide See Reviews 4 6 out of 5 based on 1128 reviews via Trustpilot Syllabus Course type Self paced Available Lessons 46 Average Lesson Length 8 min Eligible for A The census of 1790 gave it 28 000 including its suburbs about 42 000 Q What was the average age of the deputies to the Constitutional Convention A About 44 Q Who were the oldest and youngest members of the Constitutional Convention A Benjamin Franklin of Pennsylvania then 81 and Jonathan Dayton of New Jersey 26 Q
The Constitution of the United States drafted on September 17 1787 and ratified on June 21 1788 is the foundation of the U S government and its laws The Constitution was ratified after a long debate about the structure the government and laws should take It replaced the weak and problematic Articles of Confederation 1781