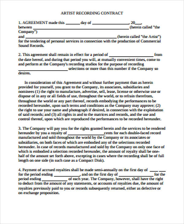
Legal Contracts Guide The Relationship Between Artists And Record Labels Published July 2008 The role of the producer is changing and whether you re freelancing for record companies or developing new bands independently it s vital to put your relationship with label and artist on a solid legal footing
Record contracts outline licensing rights and levels of control between artists and labels regarding music ownership Key areas to examine include Rights to distribute music globally Approvals over music licensing for film tv advertisements Policies around releasing remixes and best of compilation albums The Artist Record Label Relationship A Look At A Standard Record Deal By Justin M Jacobson Esq In our prior installment we examined the artist and manager relationship and explored a variety of standard
Legal Contracts Guide The Relationship Between Artists And Record Labels
Legal Contracts Guide The Relationship Between Artists And Record Labels
https://i1.wp.com/www.enlightenednegotiation.com/wp-content/uploads/2017/04/contract2.jpg
A recording contract might seem like the Holy Grail but record labels are not charity concerns and their contracts are not set up with your interests in mind Our guide to contract terms written by an entertainment lawyer explains what it all means and what the implications are for the artist
Templates are pre-designed documents or files that can be utilized for different functions. They can save effort and time by supplying a ready-made format and design for creating different type of content. Templates can be used for individual or professional jobs, such as resumes, invitations, leaflets, newsletters, reports, discussions, and more.
Legal Contracts Guide The Relationship Between Artists And Record Labels

Why Many Artists Are Signed To More Than One Label Can t Record Labels

Sample Agreement Letter Between Two Parties Contract Template Lettering

Spotify Is Letting Record Labels Influence Personalized Recommendations

Contract Drafting And Analysis Cornerpoint Law Seattle Business

Writing A Contract Agreement Template SampleTemplatess SampleTemplatess

Estate Sale Contracts Guide Estate Sale Company Blog

https://creatorslegal.com/a-complete-guide-to-music-contracts
These contracts serve as legal agreements between artists record labels producers and other parties involved in the production and distribution of music They outline the terms and conditions of the working relationship including ownership rights payment structures and obligations of each party

https://www.creativecounsel.io/music-industry-contracts
From the foundational 360 Artist Contract and Artist and Record Label Contract to specialized agreements such as the Music Licensing Agreement for Film TV and Advertising and the Podcast Music License Agreement our guide provides valuable insights into the nuances of each contract type

https://relationshipbetween.com/legal-contracts...
This blog will provide an overview of the legal contracts between artists and record labels outlining the key elements of a contract the rights and obligations of each party and the importance of negotiating the best deal for your artistic career

https://oddplug.com/producer-agreements
Producer contracts are integral legal agreements that dictate the terms of collaboration between music producers and artists These contracts outline ownership of the final recordings payment structures royalty splits and more

https://musiciansunion.org.uk/.../record-label-contracts-agreements
A recording contract is a legal agreement that is most often made between a recording artist and a record label When offered a recording contract with a label Make sure you know how and when you will be paid Ideally you will be
Discussions and research revealed that most of the contracts entered into by the artists and record labels do not create a balance between the record label and the artists Here is our a free 360 Artist Contract Template between a Record Label and an Artist Overall this contract provides a comprehensive framework for the relationship between an artist and a record label or management company
Each song has two legal rights 1 musical compositions and 2 sound recordings The chart below explains the difference between musical compositions and sound recordings Photo Source copyright gov As mentioned above artists are fighting for the rights to their own masters A master refers to the underlying rights to a song