Consignment Store Pricing Guide CONSIGNMENT SALE PRICING GUIDE CLOTHES INFANT 0 12M Complete outfits 1 2 Onesies bundle 3 or more 1 2 Jackets 1 2 Coats 2 TODDLER 18 24M
1 Markets vary if you have questions ask your sale organizer 2 Condition Matters excellent condition falls at the top of the ranges above 3 Size Matters large sizes generally sell at the higher end of these price ranges 4 Dressy Matters T Shirts play clothes will fall at or even below the prices above When researching an item on eBay look at the average price an item goes for rather than just the prices of the top few listings This can help you get a better idea of what to sell the item for in store 3 Price to Sell Not to Sit Consignment businesses flourish because so much inventory passes through the door and it s all different
Consignment Store Pricing Guide
Consignment Store Pricing Guide
https://s3.studylib.net/store/data/008976758_1-62748b8c81862239ca3aa4f6a3f6a908.png
Our selling guide is the most up to date place to find out which styles and trends we re currently excited about Outdoor Essentials STYLES technical outerwear graphic tees vests cargo pants athletic shoes BRANDS Arc Teryx Nike ACG Salomon The North Face Patagonia Converse Sheer Academia
Templates are pre-designed documents or files that can be used for various functions. They can conserve time and effort by supplying a ready-made format and design for producing different type of material. Templates can be used for individual or professional projects, such as resumes, invites, leaflets, newsletters, reports, presentations, and more.
Consignment Store Pricing Guide

Get FREE Cabin Master Pricing Guide
The Consignment Shop Management Software

Why You Should Use A Consignment Store Dunn s Attic

Appliance Breakdown Hydro Ottawa

Getting Started With Clothing Consignment And Resale Consignment

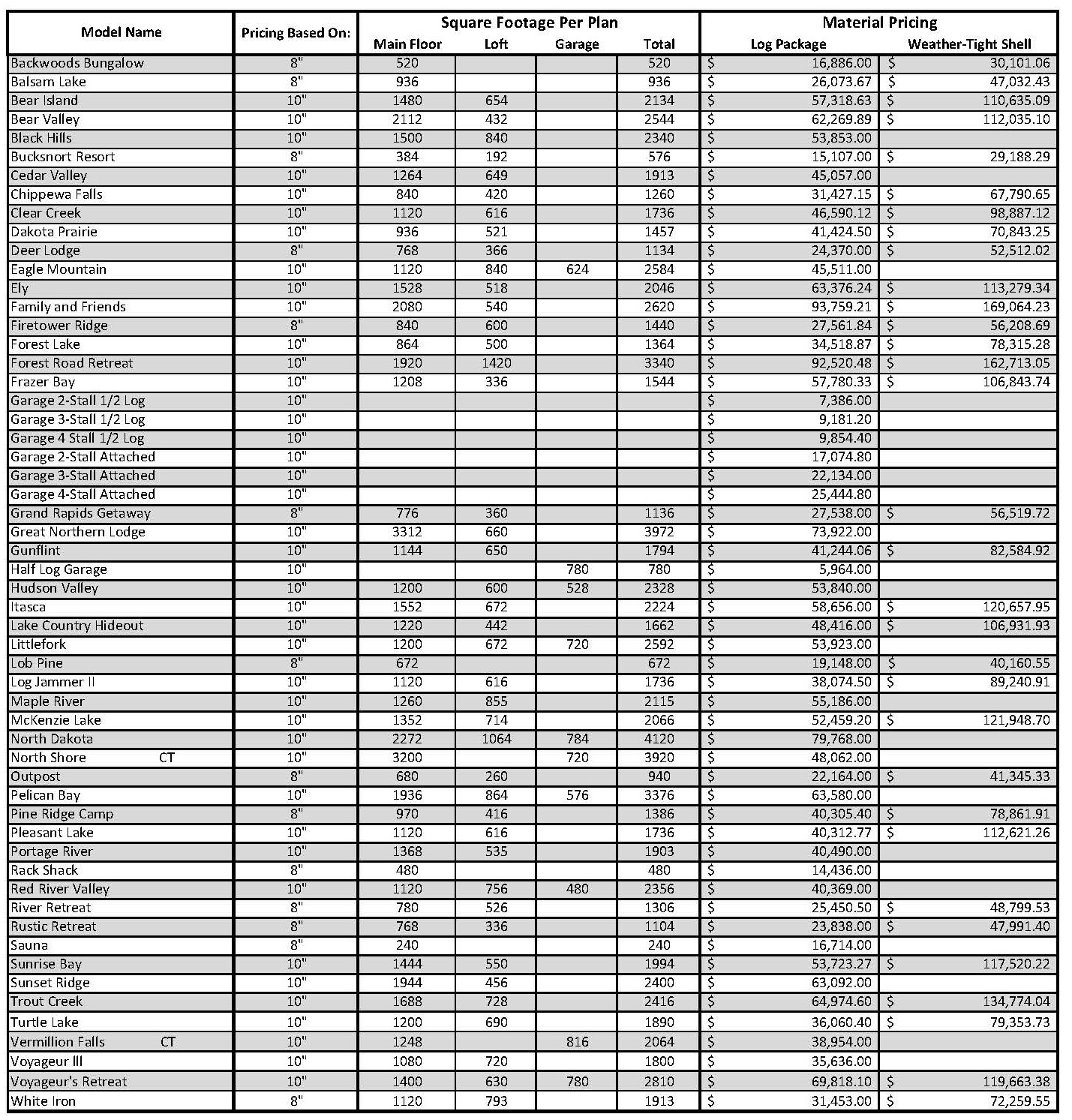
Pricing Guide Voyageur Log Homes

https://changinghandssale.com/wp-content/uploads/consignment-sale-price-guide.pdf
A great consignment rule of thumb is 25 40 of what you paid for the item depending on brand name and condition of item Ebay is also a helpful resource determining how much to price a used item You can also visit manufacturers websites to determine approximate retail value if you are unsure what you originally paid

https://www.myfrugalhome.com/kids-consignment-sale-pricing-guide/
Kids Consignment Sale Pricing Guide By Erin Huffstetler February 23 2019 10 Comments This post may contain affiliate links View our disclosure Participating in your first kids consignment sale and not really sure how to price your stuff I m here to help you with that

https://consignmentmommies.com/consignment-sale-pricing-101/
In my particular market Alabama 15 22 seems to be the pricing cap on boutique dresses Other areas and boutique themed consignment sales have great success with higher prices on boutique brands No matter the brand or price range here are 3 simple ways to be a tagging rock star

https://consigncloud.com/blog/accepting-and-pricing-items
Consignment Inventory Your Guide to Accepting and Pricing Items Desirable well priced inventory is the lifeblood of a consignment store Staying Competitive Few day to day tasks impact your store s success more than accepting and pricing your items

https://www.greenjeanssale.com/uploads/3/0/9/3/30938497/pricing_guidelines.pdf
Pricing Guidelines Tips As a consignor you decide what to price your items This guide has been created to give you a reference price point A good rule of thumb is to price items at 25 35 of what you paid for each item depending on brand name and condition of item Ask yourself a few questions when pricing
Check our guide and references below Note All markets are a bit different so check with your sale organizer to see if these are good targets for your area Clothing Brand References Change Your City Region Choose Your Region The Latest from Our Blog Congrats to our 2022 Regional Best Consignment Sales T T Consignment Pricing Guide I receive questions almost daily about how to price when reselling I ve spoken about this at length here but given that this is a frequently asked question I wanted to isolate pricing specifically into one guide for quick reference These strategies will work regardless of what site you choose to sell on
New Pricing Guide for Consignment Resale and Thrift Items Now you and your employees will be able to easily describe new and used items and press one button for suggested prices Try it for free for 7 days Get the Free Demo Design Your Pricing Guide